
Tento článek si klade za cíl upozornit na rizika spojená s výbuchy v objektech bytové a občanské výstavby a podnítit případně vznik širší diskuse na toto téma. Autoři článku se domnívají, že tato problematika je v současné době spíše opomíjena a nevěnuje se jí taková pozornost, jakou by si zasloužila.
„Probudila mě obrovská rána, až se celá postel se mnou pohnula. Vyběhla jsem ven a nevěřila svým očím. Chyběl kus baráku,“ popisovala situaci údajně jedna z nájemnic bytového domu v Havířově-Šumbarku v září roku 2013 po výbuchu v jednom z bytů, který způsobil úmyslně bývalý nájemník. V tomto případě vznikla několikamilionová hmotná škoda, ale naštěstí objekt bylo možno opravit a znovu užívat a jako zázrakem nedošlo ke ztrátě ani jednoho lidského nebo zvířecího života. Ne vždy však výbuchy končí takto relativně dobře.
Výbuch a vznik a šíření tlakových vln
Výbuchy v obytných budovách, případně i v průmyslových objektech nejsou naštěstí tzv. na denním pořádku, nicméně k nim dochází.
Výbuch (exploze) je proces, při němž v důsledku uvolnění chemické energie ve velmi krátké době vzniká velké množství výbuchových plynů, majících vysokou teplotu a vysoký tlak. Tyto plyny se v prostoru prudce rozpínají a působí na okolní vzduch, vytlačují ho z jeho původního místa. Tím vzniká tlaková vlna.
Tlak výbuchových plynů postupně v čase klesá, až se jeho hodnota rovná atmosférickému tlaku. V tu chvíli se výbuchová vlna od výbuchových plynů oddělí a šíří se dále v prostoru samostatně. Částice výbuchových plynů se však setrvačností pohybují dále, jejich tlak klesne pod hodnotu atmosférického tlaku (vzniká podtlak) a za výbuchovou vlnou se šíří výbuchová vlna zředění. Vlivem vyššího okolního tlaku vzduchu se výbuchové plyny postupně zastaví a začne jejich zpětný pohyb, tlak v nich postupně roste, až setrvačností mírně přestoupí atmosférický tlak a vytvoří se opět podmínky pro rozpínání výbuchových plynů atd. Je zřejmé, že se jedná o vlastní kmitání (pulsaci) soustavy výbuchových plynů a vzduchu.
Výše bylo zjednodušeně popsáno šíření tlakových vln ve volném prostoru. V případě šíření tlakových vln v uzavřeném prostoru je situace komplikovanější, neboť uvnitř budov není zpravidla volný prostor, v němž by se mohly tlakové vlny volně šířit všemi směry, ale dostávají se do kontaktu s vnitřními konstrukcemi (svislé a vodorovné konstrukce, případně konstrukce spojující různé výškové úrovně) a s nimi interagují, dochází k odezvě konstrukce na tuto tlakovou vlnu.
Při kontaktu s vnitřní konstrukcí (překážkou) působí na tuto konstrukci dopadající tlaková vlna, která ji poškodí nebo obteče. V obou případech ztrácí část své energie a současně dochází k částečnému odrazu tlakové vlny od překážky.

Velikost odražené tlakové vlny závisí jednak na intenzitě původní tlakové vlny, na stavební konstrukci a její schopnosti odolat působení tlakové vlny (rozhoduje tvar konstrukce, její konstrukční uspořádání a provedení) a celkovém uspořádání prostoru, v němž se tlakové vlny šíří. Jiné šíře- ní tlakových vln bude v prostoru s množstvím lehkých nenosných konstrukcí, jejichž destrukce zjednodušeně řečeno odlehčí (sníží) účinek tlakové vlny (prakticky stejný efekt mají dveřní a okenní otvory) a jiné v prostoru, v němž dominují nosné konstrukce schopné šíření tlakových vln odolat.
Pro popis šíření tlakových vln v uzavřených prostorech je nutno také vzít v potaz případ, kdy jsou v objektu výbušné látky umístěny v několika navzájem sousedících prostorech. V takovém případě může jedna tlaková vlna, která bude schopna svými vlastnostmi způsobit iniciaci výbuchu v prostoru, do něhož vnikla, vyvolat dominový efekt vznikem další jedné nebo více tlakových vln, které se následně dále šíří objektem.
Analýza šíření tlakových vln v uzavřeném prostoru je tak z pochopitelných důvodů výrazně složitější než analýza šíření tlakových vln v otevřeném prostoru. K řešení této problematiky je možno využít prostředky počítačové simulace.
Šířením podélných vln dochází k přenesení původního impulsu v rámci hmotného prostředí, obdobně jako u tzv. Newtonova kyvadla. Z důvodu nízké koncentrace částic ve vzdušném prostředí dochází při šíření těchto podélných vln k útlumu. Za vzniklý útlum mohou samozřejmě i pružnoplastické přeměny, k nimž dochází při šíření vln.

Působení tlakové vlny na stavební konstrukce
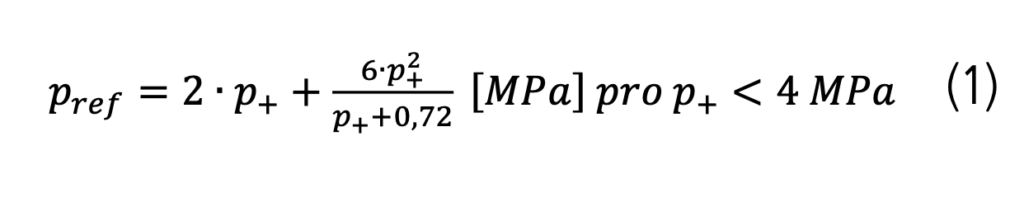
Při dopadu tlakové vlny na pevnou překážku dochází ke ztlumení a následnému odražení této vlny. Tímto mechanismem vzniká v konstrukci zatížení, které je co do velikosti rovno dvoj- až osminásobku přetlaku v dopadající vlně pro danou vzdálenost od epicentra výbuchu. Dle [1] platí:

kde: Pref je přetlak v odražené vlně [MPa], p+ je přetlak na čele vzdušné rázové vlny [MPa].
Při výbuchu v uzavřeném prostoru (uzavřené místnosti, uvnitř budov nebo technologiích) dojde vlivem odrazů tlakové vlny od vnitřních povrchů ( stěny, stropy, podlahy, jiné překážky) k navýšení zatížení přibližně o 50 % a doba trvání přetlaku je pak přibližně dvojnásobná, tedy dle [1]:

Tabulka č. 1 uvádí poškození objektů a osob přetlakem p+ ve vzdušné rázové vlně od účinků výbuchu.
Jelikož za počáteční fází výbuchu s přetlakem následuje druhá fáze – podtlaková – a dále odrazy vl n, dochází tedy i k dynamickému namáhání tlakovou vlnou postižené konstrukce.
Tlaková vlna dopadající na běžné stavební konstrukce (překážky) charakteru desek a nosníků na ně působí zatížením rovnoměrným plošným (nepředpokládá se efekt soustředěného zatížení), což plně odpovídá mechanismu jejího vzniku a průběhu.
Odezvu konstrukce pak lze zjednodušeně stanovit z jejího zatížení pomocí ekvivalentního statického zatížení pekv , které je pro dominantní vlastní frekvenci rovno součinu dynamického součinitele a δ a staticky uvažovaného zatížení, které odpovídá přetlaku v odražené vlně pref, tedy dle [1]:

V případě, že dojde k překročení meze únosnosti materiálu, dochází k jejímu poškození (vzniku trhlin). Pro bezpečnou konstrukci musí být splněna následující podmínka:

kde Qexpl je napětí od účinků tlakové vlny výbuchu, Qg je normálové napětí v daném místě od vlastní tíhy, Rtfd je mez únosnosti materiálu nebo též podmínka přípustného mezního pootočení 𝛙. Jeho hodnota na mezi porušení je přibližně v rozmezí 2,3° až 5,7° pro zdivo, minimálně 6,5° pro železobeton a minimálně 10,5° pro ocel:

kde y je maximální dosažený průhyb desky ve středu rozpětí, l je rozpětí konstrukce v kratším směru.
Následky tlakové vlny
Právě přímé následky mechanického působení tlakové vlny na stavební konstrukce jsou pak vidět v reportážních televizních vstupech nebo na fotografiích v tisku a na internetu. Příklady následků mechanického působení tlakové vlny jsou zobrazeny na fotografiích č. 1 až 4 [5]. Na fotografii č. 1 a 2 jsou zachyceny následky po výbuchu plynu v roce 2013 v bytovém domě v Havířově-Šumbarku, vyvolaném bývalým nájemníkem. A na fotografiích č. 3 a č. 4 jsou pak zachyceny následky po výbuchu v bytovém domě na ulici Jarošova v Havířově z roku 2016. V tomto případě došlo po výbuchu i k požáru a v interiéru pak ke zhroucení svislých dělicích konstrukcí.
Tlaková vlna ovšem působí nejen materiální škody, ale bohužel má dopad i na uživatele (obyvatele) zasažených obytných objektů nebo na obsluhu v případě výbuchů v průmyslových objektech či areálech.
Na osoby a případně zvířata vyskytující se v objektech působí tlaková vlna nejprve náhlým zvýšením tlaku okolního vzduchu s tím, jak se tlaková vlna šíří prostorem a následně mechanicky, a to prostřednictvím částí výbuchem poškozených konstrukcí (úlomky zdiva, roztříštěné výplně otvorů aj.). Skokově (náhle) zvýšený tlak okolního vzduchu, kterému zpravidla není schopno tělo bez následků odolat, vyvolá stlačení částí těla vystavených tlakové vlně, což způsobí stlačení vnitřních orgánů a jejich následné poškození.
Ovšem vzhledem k charakteru tlakové vlny, která není omezeným fyzikálním jevem a jejíž účinky klesají až s poklesem energie vyvolané výbuchem, dochází bohužel i k působení na okolí postiženého objektu, v němž došlo k výbuchu, tedy například v případě výbuchu v bytovém domě v centru zástavby dochází k rozsáhlému šíření fragmentů konstrukcí do širokého okolí a ohrožení i osob a zvířat pohybujících se mimo objekt, v němž k výbuchu došlo.
Součástí výbuchu je obvykle i nárůst teploty okolí, která často vede ke vzniku požáru, a tím pádem k navýšení materiálních škod a dalšího ohrožení osob a zvířat.
Velikost bezpečného poloměru s ohledem na působení tlakové vzdušné vlny (výbuch na povrchu země) lze stanovit podle vztahu převzatého z [2]:

kde: rb je poloměr bezpečnostního okruhu [m], Q je hmotnost nálože [kg], K je koeficient přípustného stupně bezpečnosti působení vzdušné tlakové vlny [-], viz tabulka č. 2.
Vztah (7) pro stanovení poloměru bezpečnostního okruhu je orientační, neboť nezohledňuje typ nálože a v případě výbuchu plynu nebo jiných látek (prach či kapaliny) je prakticky nepoužitelný. Z důvodu neznalosti těchto vstupních veličin by bylo jistě užitečné realizovat v této souvislosti další výzkum.

Příčiny výbuchů
Příčina výbuchů (explozí) může být různá. Obecně se může jednat o výbuch způsobený osobou nebo osobami záměrně anebo technickou závadu, ať už na technickém vybavení budovy (rozvody hořlavých látek, plynů a směsí), nebo na nějakém technickém či strojním vybavení, případně k výbuchu dojde z důvodu špatného technického stavu rozvodů nebo zařízení. Nelze samozřejmě vyloučit ani kombinaci několika těchto důvodů.
V případě záměrného vyvolání exploze budou hlavní roli hrát zřejmě výbušniny, ať už průmyslově vyrobené, nebo bude užito munice či střeliva. Použít se samozřejmě dají i volně dostupné chemické látky používané v běžném životě např. v zemědělství nebo průmyslu.
Pokud nebude výbuch iniciován zcela záměrně a účelově, budou hlavními viníky nepochybně hořlaviny dopravované do budov, tedy především různé plyny, prachové částice nebo kapaliny.

V budovách se ovšem také vyskytuje mnoho zařízení, která mohou představovat pro budovy potenciální riziko, např. kotle, strojní zařízení pro výměnu vzduchu, pohony technologických provozů aj.
Kromě závady na přívodním potrubí energií dopravovaných do budov a na strojních zařízeních je bezesporu velkým problémem stáří stávajících přívodních potrubí a strojních zařízení a jejich zanedbaná pravidelná kontrola a údržba. Se skutečností, že majitelé nemovitostí nevěnují údržbě dostatečnou pozornost, se bohužel ve stavební praxi lze setkat opakovaně.
Podklady pro návrh opatření protivýbuchové ochrany
Podkladem pro návrh opatření protivýbuchové ochrany je analýza rizik, která má za úkol stanovit parametry výbuchu, ke kterému může v konstrukci (objektu) nebo mimo ni dojít a v jakém časovém intervalu (době opakování). To znamená stanovit uniklé množství hořlavých výbušných látek (náplně cisteren, skladových tanků či nádrží aj.), které mohou být z nejrůznějších důvodů porušeny, případně stanovit množství výbušniny, se kterou se v daném provozu pracuje apod.

Rozvoj technologií
Stejně jako v minulých staletích, i v tom současném jsme svědky řady inovací ve všech oblastech lidského života. Dochází k řadě průlomových zjištění ve vědě a v technice, do běžného života proniká řada nových produktů, výrobků a technologií. Namátkou lze jmenovat například snahy o větší využití jiných druhů energií, než na jaké jsme dosud zvyklí, např. vodík.
Nové technologie však skýtají kromě nesporných výhod i nová rizika jak pro koncové uživatele, tak i pro okolí staveb. Ne vše je domyšleno do nejmenších detailů, a ne vždy lze stávající budovy zcela adaptovat a přizpůsobit novým prvkům, do nich zabudovávaných.
Legislativa a praxe
V průmyslových provozech, kde se pracuje s výbušným prostředím a výbušnými látkami se bezesporu stávající normy a příslušné bezpečnostní předpisy aplikují a jistě i vyžadují při pravidelných kontrolách a revizích.
Jak je tomu však v obytných budovách a budovách občanské vybavenosti? Jsou v technických místnostech (strojovnách) přijata taková opatření, která pomohou následky případných výbuchů technologických prvků v nich umístěných zmírnit? Máme na mysli odlehčovací klapky, odlehčovací otvory a statické posouzení hlavních nosných konstrukcí budovy na účinky výbuchů.
Jsou výplně otvorů směřujících z místností, v nichž se nachází potencionální zdroj tlakové vlny (kotel, strojní zařízení) do veřejného prostoru takového charakteru, že v případě tlakové vlny nedojde k šíření střepů z rozbitého skla v podobě mraku letících drobných fragmentů, který by se dal nejlépe přirovnat ke šrapnelové střele?
Jsou ve veřejných garážích, v nichž je připuštěno parkování vozidel na alternativní paliva (LPG, CNG, případně vodík) navrhnut a v praxi řádně osazen adekvátní počet čidel úniku plynu a je zajištěno odvětrání parkovacích prostor? Jsou prováděny pravidelné kontroly funkčnosti těchto čidel a odvětrání?
Je povědomí o způsobu posouzení účinků výbuchů na stavební konstrukce mezi statiky dostatečné?
Vyhláška č. 23/2008 Sb. (vyhláška o technických podmínkách požární ochrany staveb) uvádí řadu norem. Převážná část se týká požární ochrany, nicméně jsou uvedeny i normy zabývající se stanovením požadavků na budovy i z hlediska nebezpečí výbuchu. A v těchto normách jsou citovány další normy. Jsou všechny tyto normy v praxi zavedeny a řádně aplikovány?
Nelze se spoléhat na to, že v rámci stavebního řízení nějaký dozorující orgán vydá či nevydá kladné stanovisko. Dle našeho názoru by primárně sami projektanti měli mít zájem na tom, aby stavby, na jejichž projektování se podílejí, byly pro jejich uživatele bezpečné.
VOJTĚCH ŠTRBA, MIROSLAV MYNARZ
Ing. Vojtěch Štrba (* 1978)
Absolvoval Stavební fakultu VUT v Brně a je autorizovaným inženýrem pro statiku a dynamiku staveb. Do roku 2012 pracoval jako statik v několika projekčních kancelářích. Od roku 2012 provozuje vlastní projekční praxi.
Ing. Miroslav Mynarz, Ph.D. (* 1972)
Absolvoval Stavební fakultu v Ostravě a v současné době působí jako akademický pracovník na Fakultě bezpečnostního inženýrství, VŠB – TU Ostrava. V rámci svého odborného působení se zabývá problematikou mimořádných zatížení staveb, konkrétně účinky výbuchů na stavby.
Publikováno v časopise Materiály pro stavbu 2/2024
Zdroje, podklady a literatura:
[1] Protivýbuchová ochrana staveb, Celoživotní vzdělávání v oblasti protivýbuchové ochrany staveb; http://pvoch.cvut.cz
[2] Kratochvíl V., et. al.: Tlakové láhve z hlediska požární bezpečnosti, Ostrava, SPBI, 2009, 155 s., ISBN 978-80-7385-070-8
[3] ČSN EN 1991-1-7 Eurokód 1: Zatížení konstrukcí – Část 1-7: Obecná zatížení – Mimořádná zatí- žení; prosinec 2007
[4] ČSN EN 14460 Konstrukce odolné výbuchovému tlaku; prosinec 2018 [5] Archiv Ing. Štrby


Nejnovější komentáře