Fasádní zateplovací systémy (ETICS) se u nás uplatňují už přes 20 let a kromě samozřejmých pozitiv přinášejí i problémy. Jedním z nich je růst řas a plísní na některých místech jejich povrchu. Tomuto jevu se věnuje nově vzniklá Certifikovaná metodika stanovení rizika napadení fasád s ETICS mikroorganismy, vypracovaná v rámci projektu TAČR TA 04010837 s názvem „Vývoj nových materiálů a technologií pro údržbu a rekonstrukci budov s aplikovanými kontaktními tepelněizolačními systémy obvodových plášťů (ETICS)“.
Metodika klasifikuje rizika napadení fasád s ETICS mikroorganismy a stanovuje další postupy biocidních zásahů. Jejími autory jsou Mgr. Pavla Ryparová z katedry konstrukcí pozemních staveb FSv ČVUT, Ivana Loušová z katedry konstrukcí pozemních staveb FSv ČVUT, Ing. Lukáš Balík, Ph.D., vedoucí Oddělení stavebních materiálů Kloknerova ústavu ČVUT, a Ing. Martin Jirků, obchodní ředitel divize Povrchové úpravy firmy Stachema CZ, s. r. o.
Jedním z důvodů, proč se na ETICS vyskytují tyto degradační faktory, je změněný teplotně vlhkostní režim obvodových plášťů a vyšší množství po-užitých organických složek v omítkovinách. Dalším důvodem může také být vyšší obliba používání výrazných barev, na kterých jsou mikroorganismy více viditelné.



Cíl metodiky
Zmíněná metodika vychází ze čtyřletého laboratorního a terénního výzkumu. Určuje postup a kritéria pro stanovení nutnosti biocidního zásahu na omítkovinách, které jsou součástí povrchové úpravy kontaktních zateplovacích systémů, a to formou bodového ohodnocení zkoumané fasády z hlediska biotického rizika napadení vnějších plášťů. Stanovuje přesný postup hodnocení biotické odolnosti vnějších plášťů budov. Z hodnocení pak vyplyne, zda je vhodné oslovit odbornou sanační firmu nebo zda je možné postupovat svépomocí.
Postup je rozdělen do tří kroků. První krok hodnotí vliv vnějších činitelů, kteří negativně působí na povrch fasády. V případě vyššího stupně nebezpečí je doporučeno měření povrchové vlhkosti na fasádě (druhý krok). Podle rizika pronikání vody do omítky je přikročeno ke třetímu kroku, tj. stanovení množství mikroorganismů na fasádě a jejich životní stadia.


Východiska
Za počátek degradace stavebních materiálů je považováno zhoršení stavu způsobené iontovými činiteli, které obohacují anorganickou strukturu pórového systému omítek organickou složkou. Ta následně slouží jako zdroj živin pro mikroorganismy. Prvopočátek je spojen pouze s barevnými změnami materiálů, které jsou tvořeny biogenními pigmenty. Tato fáze biodeteriorace se často, i když mylně, považuje za estetický problém [2]. Následujícím dějem je tvorba extracelulárních polymerických substancí, které mechanicky namáhají vnější stranu pórového systému omítek svým cyklickým smršťováním a bobtnáním [3]. Výsledkem těchto reakcí je změna v distribuci velikosti pórů a tím i změna transportu vlhkosti a tepla. Posledním, a rozhodně ne méně podstatným jevem, je zvýšená akumulace atmosférických polutantů biofilmem, která obohacuje anorganickou složku omítek o další potřebné živiny [4].
Mikrobiální osídlení povrchů způsobuje acidobasickou a oxidačně redukční degradaci struktury omítek. Kolonizace povrchů mikroorganismy a intenzita způsobené biodegradace je úzce spojena s přítomností vody v materiálu, resp. kondenzací vzdušné vlhkosti, která je závislá na druhu a vlastnostech systému, jako jsou porozita a permeabilita.
Biofilm je obohacen o precipitující sole obohacené o vzdušné částice polutantů a chemických sloučenin. Následná fyzikální degradace omítek je způsobena mrazovými cykly a rekrystalizačními tlaky solí, stejně jako biokorozivními a biooxidačními chemickými procesy, které způsobují zvětrávání a vymývání minerálů z omítek. Výsledkem těchto dějů je obrušování a granulární rozpad vrchní vrstvy, čímž se více otvírá její pórový systém pro další mikrobiální kolonizaci. Biodegradace stavebních konstrukcí je složitý komplexní proces, který v sobě skrývá poškození skrze fyzikální a chemickou korozi indukovanou mikroorganismy.
Mikroorganismy kolonizují vnější povrchy budov nejčastěji v tomto pořadí: bakterie, řasy a plísně – s tím, že jednoznačně stanovit jejich biodegradační a zdravotní závadnost bez znalosti koncentrace a druhového zastoupení není možné [4, 5, 6].
Dominantními rizikovými faktory, které ovlivňují biotické napadení fasád, jsou:
– vlhkost v každé formě (déšť, vzdušná vlhkost, kondenzace),
– výskyt vodních ploch v okolí budovy,
– sousedství zelené vegetace v okolí – na návětrné straně (lesy, pole, parky a louky),
– těsná blízkostí stromů a keřů u fasád předmětných budov,
– výskyt řas a plísní na okolních domech,
– míra zašpinění povrchu fasády budovy,
– emisní znečištění ovzduší (prach a popílek) v lokalitě budovy,
– nevhodná montáž kovových a jiných prvků (parapetní a jiné oplechování, kotvy, výdechy apod.) do fasády budovy,
– stávající technický stav povrchové úpravy.
Popis metodiky
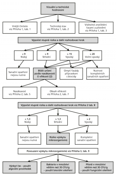
Metodika je rozdělena do tří kroků, které na sebe navazují. V jednotlivých krocích jsou popsány dílčí postupy a hodnocení, ke kterému je v tabulkách příloh 1–4 přiřazeno bodové hodnocení, z kterého je vypočítán dílčí koeficient rizika. Postup je založen na vyplnění do karty rizik podle návodu a následném výpočtu koeficientu stupně rizika (viz celá metodika). Jednotlivé kroky jsou následující a postup je na obrázku:
– vizuální a technická diagnostika,
– stanovení nasákavosti a vlhkosti fasády,
– zmapování mikroorganismů na vnějších fasádách.
Charakteristika jednotlivých kroků
Vizuální a technická diagnostika
Prozkoumání vlivu vnějších činitelů na růst mikroorganismů, kam patří technický průzkum předmětné fasády a umístění předmětného objektu z hlediska okolí (blízkost vodních ploch, lesů, velkých zatravněných ploch a blízkost hospodářských stavení – popsáno v příloze 1 celé metodiky). V případě dosažení hodnoty stupně rizika 10 bodů (tabulka 4 přílohy 1) z kroku 1 se doporučuje přikročit ke druhému kroku dle následující kapitoly.
Stanovení nasákavosti a vlhkosti fasády
Stanovení nasákavosti vrchního souvrství ETICS se provádí dle ČSN 73 2578 popsané v příloze 2. V případě dosažení dílčího koeficientu rizika 1,3 a více (tabulka 8 celé metodiky) z kroku 2 se doporučuje přikročit ke třetí části dle kapitoly následující kapitoly.
Zmapování mikroorganismů na vnějších fasádách
Ke stanovení množství mikroorganismů se přikročí při hodnotě koeficientu rizika vlhkosti fasád přesahující 1,4. Tato hodnota vypovídá o možném růstu bakterií, řas a plísní. Z fasády se odebere granulát pomocí obrusu, a to alespoň z šesti míst, v množství minimálně 1 g. Místa pro odběr granulátu je třeba vybrat tak, aby byla zdokumentovaná alespoň jedna strana fasády. Doporučuje se začít s odběrem asi 1,5 m od země na severní nebo severozápadní straně a pak v rámci možností v pravidelných rozestupech pokračovat po celé fasádě. Je třeba se vyvarovat odběru v místech viditelného znečistění (tmavá a vlhká místa, s koloniemi pavouků a pavoučkovců). Před samotným odběrem se čistým štětcem odstraní prach se sporami mikroorganismů a dezinfikovanou špachtlí se získá granulát. Granulát se přenese do sterilního fyziologického roztoku.
Stanovení množství řas
Matečná kultura v objemu 1 ml se naočkuje na Petriho misku s Knop agarem, a to alespoň ve třech opakováních. Po 14 dnech se vyhodnotí růst konsorcia řas. V případě výskytu pouze řas se doporučuje opravit veškeré viditelné vady a použít jako sanační prostředek některý algicid.
Stanovení množství plísní a bakterií
Matečná kultura v objemu 1 ml se naočkuje na živné médium dle normy ČSN ISO 4833. Stanovení se provádí alespoň ve třech opakováních. Stanovení množství bakterií probíhá po dvoudenní inkubaci. Množství plísní se zhodnotí po sedmidenní inkubaci. Množství bakterií a plísní se stanoví jako počet kolonií narostlých na Petriho misce a výsledek se přepočte na kolonie tvořící jednotky na 1 g granulátu (KTJ/g). V případě počtu mirkoorganismů více než 30 KTJ/g se doporučuje použít vhodný biocidní prostředek. V případě výskytu bakterií, řas i plísní (popřípadě kombinací pouze některých z nich) je vhodné volit prostředek, který je účinný proti všem vyskytujícím se mikroorganismům.
Závěrem
Metodika je určena pro širokou odbornou veřejnost z oblasti stavebnictví, která se věnuje péči a renovaci bytového fondu, jako jsou správci bytového fondu a odborníci z firem, kteří se zabývají renovací a sanací. Tento článek obsahuje pouze krátké shrnutí bez příloh, na které se odkazuje. Celá metodika je uveřejněna ZDE a ve sborníku z konference CRRB 2017.
PAVLA RYPAROVÁ, LUKÁŠ BALÍK, MARTIN JIRKŮ
foto Martin Jirků a Lukáš Balík (4)
Literatura:
1) KLÁNOVÁ, K. Plísně v domě a bytě. Praha: Grada Publishing, 2015.
2) TIANO, PIERO. Biodegradation of cultural heritage: decay mechanisms and control methods, Seminar article, New University of Lisbon, Department of Conservation and Restoration, 2002.
3) DORNIEDEN, T., A. A. GORBUSHINA A W. E. KRUMBEIN. Biodecay of cultural heritage as a space/time-related ecological situation – an evaluation of a series of studies. International Biodeterioration & Biodegradation, 46 (4), 2000.
4) WARSCHEID, T. A J. BRAAMS. Biodeterioration of stone. International Biodeterioration & Biodegradation, 46 (4). 2000.
5) KRUMBEIN, W. E. Microbial interactions with mineral materials. Biodeterioration, 7, 1988.
6) WASSERBAUER, R. Biologické znehodnocení staveb. Praha: ABF ARCH, 2000.
7) MOULARAT S., M. HULIN, E. ROBINE, I. ANNESI-MAESANO A D. CAILLAUD. Airborne fungal volatile organic compounds in rural and urban dwellings: detection of mould contamination in 94 homes determined by visual inspection and airborne fungal volatile organic compounds method. Science of the Total Environment, 409, 11, 2011.
8) SULAKATKO, V., I. LILL A E. WITT. Methodological framework to assess the significance of External Thermal Insulation Composite System (ETICS) on-site activities. Energy Procedia: SBE16 Tallinn and Helsinki Conference; Build Green and Renovate -Deep, 5–7 October 2016, Tallinn and Helsinki. Elsevier.
9) XIMENES, S., J. DE BRITO, P. L. GASPAR, A A. SILVA. Modeling the degradation and service life of ETICS in external walls. Materials and Structures, 48(7), 2015.
10) SILVA, A., J. DE BRITO, P. L. GASPAR. Application of the factor method to maintenance decision support for stone cladding. Automation in Construction, 22, 2012.
11) RYPAROVÁ, P. a Z. RÁCOVÁ. Characterization of Microorganism from Individual Layers of the Building Envelope (ETICS) and Methods of Their Sampling. In Trans Tech Publications (CRRB 2015), Prague 2015.
12) ČSN 72 4310 (1977) Zkoušení odolnosti stavebních výrobků a materiálů proti plísním.
13) ČSN 73 2578 (1982), Zkouška vodotěsnosti povrchové úpravy stavebních konstrukcí.
14) ČSN EN ISO 846 (1998), Plasty – Hodnocení působení mikroorganismů.
15) ČSN P 73 0610 (2000) Hydroizolace staveb – Sanace vlhkého zdiva.
16) European Technical Approval Guideline ETAG 004:2013 External Thermal Insulation Composite Systems with Rendering.
17) ČSN EN ISO 4833-1 Microbiology of the food chain – Horizontal method for the enumeration of microorganisms.
Mgr. Pavla Ryparová, Ph.D., (*1975)
absolvovala PřF UK, obor biochemie, a FSv ČVUT, obor pozemní stavby. Pracovala na AV ČR v Ústavu experimentální botaniky a ve Fyzikálním ústavu. V současné době pracuje na katedře konstrukcí pozemních staveb FSv ČVUT, kde se věnuje studiu biodegradace stavebních materiálů a mikrobiologie a nanotechnologii ve stavebnictví. Součástí její práce je také činnost v akreditované laboratoři OL.
Ing. Lukáš Balík, Ph.D., (*1973)
absolvoval SvF ČVUT. Pracoval jako projektant a specialista v oblastech sanací vlhkého zdiva, posudků a navrhování tepelných izolací staveb. V současné době se zabývá diagnostikou staveb, stavebními dozory, poradenskou a znaleckou činností a pokračuje ve vědecké činnosti v oblasti fyzikálního a materiálového inženýrství. V současné době je vedoucím Oddělení stavebních materiálů Kloknerova ústavu ČVUT.
Ing. Martin Jirků (*1966)
absolvoval ČVUT. Od roku 1998 pracuje v oblasti výroby barev, omítkovin a stavební chemie. V současné době zaujímá post obchodního ředitele divize povrchové úpravy u společnosti Stachema CZ.
Máte-li požadavek na doplnění či rozšířejní tohoto tématu nebo k němu chcete autorsky sami přispět dalšími informacemi, piště do redakce na mas@bmone.cz.




